Nord Italia Switch Off: elenco comuni Province di Parma, Piacenza – Martedi 23 novembre 2010
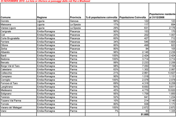
In questi giorni c’è lo switch off del nord Italia, oggi martedi 23 novembre 2010 tocca Province di Parma e di Piacenza e come ogni giorno ecco giorno per giorno le date del passaggio al digitale divisi per regione, provincia e comune. Oggi sono 51.669 persone scoprono la nuova Televisione Digitale. Ricordiamo che ogni giorno, […]
di Redazione / 23.11.2010
In questi giorni c’è lo switch off del nord Italia, oggi martedi 23 novembre 2010 tocca Province di Parma e di Piacenza e come ogni giorno ecco giorno per giorno le date del passaggio al digitale divisi per regione, provincia e comune. Oggi sono 51.669 persone scoprono la nuova Televisione Digitale.
Ricordiamo che ogni giorno, inseriamo una curiosità sulla rivoluzione della televisione, oggi scopriamo il significato di ZAPPER:
Decoder non interattivo (senza standard MHP), in grado di ricevere i programmi televisivi, ma non i servizi interattivi.
Elenco comuni del passaggio al digitale martedi 23 novembre 2010:

Legenda:
Nella tabella sopra riportata è disponibile anche la percentuale della popolazione coinvolta nel comune preso in considerazione ed il numero assoluto.
La lista si riferisce ai passaggi al digitale dei canali Rai e Mediaset.
Sono pubblicati anche sui siti www.dgtvi.it e decoder.comunicazioni.it.